Nissan Juke Service and Repair Manual : Diagnosis and repair work flow
Work Flow
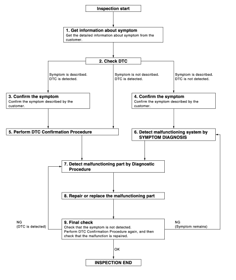
OVERALL SEQUENCE

DETAILED FLOW
1.GET INFORMATION ABOUT SYMPTOM
Get detailed information from the customer about the symptom (the condition and the environment when the incident/malfunction occurs).
>> GO TO 2.
2.CHECK DTC
1. Check DTC of “ENGINE”, “BCM” and “IPDM E/R” using CONSULT-III.
2. Perform the following procedure if DTC is detected.
- Record DTC and freeze frame data (Print them out using CONSULT-III.) - Erase DTC.
- Study the relationship between the cause detected by DTC and the symptom described by the customer.
3. Check related service bulletins for information.
Are any symptoms described and any DTC detected? Symptom is described, DTC is detected>>GO TO 3.
Symptom is described, DTC is not detected>>GO TO 4.
Symptom is not described, DTC is detected>>GO TO 5.
3.CONFIRM THE SYMPTOM
Confirm the symptom described by the customer.
Connect CONSULT-III to the vehicle, and check self diagnostic results in real time.
Verify relation between the symptom and the condition when the symptom is detected.
>> GO TO 5.
4.CONFIRM THE SYMPTOM
Confirm the symptom described by the customer.
Connect CONSULT-III to the vehicle, and check self diagnostic results in real time.
Verify relation between the symptom and the condition when the symptom is detected.
>> GO TO 6.
5.PERFORM DTC CONFIRMATION PROCEDURE
Perform DTC Confirmation Procedure for the detected DTC, and then check that DTC is detected again.
At this time, always connect CONSULT-III to the vehicle, and check self diagnostic results in real time.
If two or more DTCs are detected, refer to BCS-66, "DTC Inspection Priority Chart" (BCM) or PCS-25, "DTC Index" (IPDM E/R), and determine trouble diagnosis order.
Is DTC detected? YES >> GO TO 7.
NO >> Refer to GI-42, "Intermittent Incident".
6.DETECT MALFUNCTIONING SYSTEM BY SYMPTOM DIAGNOSIS
Detect malfunctioning system according to SYMPTOM DIAGNOSIS based on the confirmed symptom in step 4, and determine the trouble diagnosis order based on possible causes and symptom.
>> GO TO 7.
7.DETECT MALFUNCTIONING PART BY DIAGNOSTIC PROCEDURE
Inspect according to Diagnostic Procedure of the system.
NOTE
:
The Diagnostic Procedure is described based on open and short circuit
inspection.
Is malfunctioning part detected? YES >> GO TO 8.
NO >> Check voltage of related BCM terminals or IPDM E/R terminals using CONSULT-III.
8.REPAIR OR REPLACE THE MALFUNCTIONING PART
1. Repair or replace the malfunctioning part.
2. Reconnect parts or connectors disconnected during Diagnostic Procedure again after repair and replacement.
3. Check DTC. If DTC is detected, erase it.
>> GO TO 9.
9.FINAL CHECK
When DTC is detected in step 2, perform DTC CONFIRMATION PROCEDURE again, and then check that the malfunction is repaired securely.
When symptom is described by the customer, refer to confirmed symptom in step 3 or 4, and check that the symptom is not detected.
Does the symptom reappear? YES (DTC is detected)>>GO TO 7.
YES (Symptom remains)>>GO TO 6.
NO >> INSPECTION END
Basic inspection
...
Additional service when replacing control unit
ECM
ECM : Description
Performing the following procedure can automatically activate recommunication
of ECM and BCM, but only
when the ECM is replaced with a new one*.
*: New one means a virgin ...
Other materials:
Air conditioning system refrigerant and lubricant recommendations
The air conditioning system in your NISSAN vehicle must be charged with the
refrigerant HFC-134a (R-134a) and the oil, NISSAN A/C system oil Type R or the exact
equivalents.
CAUTION
The use of any other refrigerant or oil will cause severe damage to the air
conditioning system and will requi ...
Basic inspection
Radiator
Inspection
Check radiator for mud or clogging. If necessary, clean radiator as follows.
CAUTION:
• Be careful not to bend or damage the radiator fins.
• When radiator is cleaned without removal, remove all surrounding parts such as
radiator fan, radiator
shroud and horns. Then tap ...
Cup holders
CAUTION
• Avoid abrupt starting and braking when the cup holder is being used
to prevent spilling the drink. If the liquid is hot, it can scald you or your passenger.
• Use only soft cups in the cup holder.
Hard objects can injure you in an accident.
Center console
Door (front and r ...
